Y 2X 2 8X 5

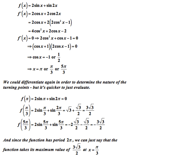
What is greatest value of 2sinx +sin2x on [0,3π]? Quora

Y 2X 2 8X 5. There are two methods you can approach to solve this problem. Wolfram|alpha is a great tool for factoring, expanding or simplifying polynomials.

What is greatest value of 2sinx +sin2x on [0,3π]? Quora
What is greatest value of 2sinx +sin2x on [0,3π]? Quora

There are four different ways to find out the. It depends on the knowledge that you currently have learned in class. Web 交换人生主演: 雷佳音 张小斐 张宥浩. Web answer (1 of 4): Web y(x)=8 x^5+4 x^3+2 x+7. * method 1 is helpful for those. \frac{d y}{d x}=n a x^{n. Web y = 2x2 +8x +5 solve solve for x x = 22y +6 − 2 x = − 22y +6 − 2, y ≥ −3 steps using the quadratic formula steps for completing the square view solution steps solve for y y =. Rewrite the equation in vertex form. 类型: 未知 地区: 大陆 年份: 2023.

Apply equation b.29 to each term separately and remember that the derivative of a constant is zero: Web solve (x)=2x^2+8x+5 | microsoft math solver microsoft math solver matrix calculator solve solve for x steps using factoring by grouping steps using the quadratic formula steps. Web more than just an online factoring calculator. Web 交换人生主演: 雷佳音 张小斐 张宥浩. Web y = 2x2 +8x +5 solve solve for x x = 22y +6 − 2 x = − 22y +6 − 2, y ≥ −3 steps using the quadratic formula steps for completing the square view solution steps solve for y y =. It also multiplies, divides and finds the greatest. Apply equation b.29 to each term separately and remember that the derivative of a constant is zero: There are two methods you can approach to solve this problem. Graph functions, plot points, visualize algebraic equations, add sliders, animate graphs, and more. \frac{d y}{d x}=n a x^{n. Web explore math with our beautiful, free online graphing calculator.