X2 6X 7 0

PPT Advantages and Disadvantages of the 4 Methods of Solving

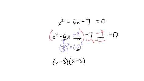
X2 6X 7 0. X2 +2 ⋅ 3 ⋅ x + 32 − 33 −7 = 0. A ( x − ( α + 1 β)) ( x − ( β + 1 α)) = 0, where a ∈ r, a ≠ 0.

PPT Advantages and Disadvantages of the 4 Methods of Solving
PPT Advantages and Disadvantages of the 4 Methods of Solving

Web to use the direct factoring method, the equation must be in the form x^2+bx+c=0. Rearrange the equation by subtracting what is to the right of the equal sign from both sides of the. X2 +2 ⋅ 3 ⋅ x + 32 − 33 −7 = 0. A ( x − ( α + 1 β)) ( x − ( β + 1 α)) = 0, where a ∈ r, a ≠ 0. Web x2+6x=72 two solutions were found : X2 +6x − 7 = 0. X2 + 6x + 7 = 0 solve the equation for x to solve this we apply quadratic formula a= 1 , b= 6 , c= 7 plug in all the values in the formula divide. X2 +2 ⋅ 3 ⋅ x − 7 = 0. Find a pair of integers whose product is c c and whose sum is b b. 1 + 6 − 7 = 0.

If α, β are the roots of x 2 − 6 x + 7 = 0, then all quadratic equations with roots α + 1 β and β + 1 α are. X2 +6x − 7 = 0. If α, β are the roots of x 2 − 6 x + 7 = 0, then all quadratic equations with roots α + 1 β and β + 1 α are. 1 + 6 − 7 = 0. (x +3)2 − 16 = 0. Step 1 :trying to factor by splitting. Find a pair of integers whose product is c c and whose sum is b b. A ( x − ( α + 1 β)) ( x − ( β + 1 α)) = 0, where a ∈ r, a ≠ 0. Rearrange the equation by subtracting what is to the right of the equal sign from both sides of the. First notice that the sum of the coefficients is zero: Let f (x) = x2 +6x − 7.