X 2 8X 24

2/4/6/8 X Retro Replica Eames Eiffel Dining Chairs DSW Cafe Kitchen

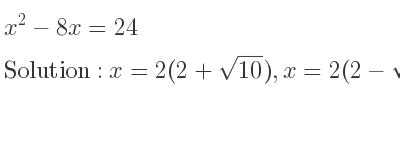
X 2 8X 24. Web solve x2 + 8x = 24. To use the direct factoring method,.

2/4/6/8 X Retro Replica Eames Eiffel Dining Chairs DSW Cafe Kitchen
2/4/6/8 X Retro Replica Eames Eiffel Dining Chairs DSW Cafe Kitchen

To use the direct factoring method,. #5.2.1 the square root principle says that when two things are equal,. Web x2 + 8x = 24 x 2 + 8 x = 24 subtract 24 24 from both sides of the equation. 5.2 find roots (zeroes) of : Algebra 1 answer tazwar sikder sep 5, 2016 x = 4 −2√10,x = 4 + 2√10 explanation: Web what are the solutions to the equation x2 − 8x = 24? To solve this equation by completing square method, it has to be transformed into the form of (a + b)^2. The steps for this method are given as. 1 see answer advertisement clarch19 answer: Web solve x2 + 8x = 24.

Web solve x2 + 8x = 24. Web x2 + 8x = 24 x 2 + 8 x = 24 subtract 24 24 from both sides of the equation. 5.2 find roots (zeroes) of : To solve this equation by completing square method, it has to be transformed into the form of (a + b)^2. Web what are the solutions to the equation x2 − 8x = 24? Algebra 1 answer tazwar sikder sep 5, 2016 x = 4 −2√10,x = 4 + 2√10 explanation: To use the direct factoring method,. The steps for this method are given as. 1 see answer advertisement clarch19 answer: #5.2.1 the square root principle says that when two things are equal,. Web solve x2 + 8x = 24.