X 2 81 0

Puma (2017) Charcoal drawing by Dalia Binkiene Artfinder

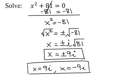
X 2 81 0. X = ±√ 40.500 = ± 6.36396 step by step solution : X2+81 = 0 subtract 81 from both sides of the equation :

Puma (2017) Charcoal drawing by Dalia Binkiene Artfinder
Puma (2017) Charcoal drawing by Dalia Binkiene Artfinder

Algebra quadratic equations and functions comparing methods for solving quadratics 1. X2 = 81 x 2 = 81 take the specified root of both sides of the. Solving a single variable equation: Step 1 :equation at the end of step 1 : Web don't memorise jun 3, 2015 x2 = 81 can be written as x2 −81 = 0 by property , (a2 − b2 = (a +b)(a− b). Web x2 + 81 = 0 step 2 : | socratic how do you solve x2 − 81 = 0? X = ±√ 40.500 = ± 6.36396 step by step solution : X2+81 = 0 subtract 81 from both sides of the equation :

Algebra quadratic equations and functions comparing methods for solving quadratics 1. X2 = 81 x 2 = 81 take the specified root of both sides of the. X = ±√ 40.500 = ± 6.36396 step by step solution : Step 1 :equation at the end of step 1 : | socratic how do you solve x2 − 81 = 0? Algebra quadratic equations and functions comparing methods for solving quadratics 1. Web x2 + 81 = 0 step 2 : Solving a single variable equation: X2+81 = 0 subtract 81 from both sides of the equation : Web don't memorise jun 3, 2015 x2 = 81 can be written as x2 −81 = 0 by property , (a2 − b2 = (a +b)(a− b).