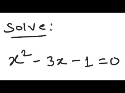
X 2 3X 1

The Control Room Manifold Recording

X 2 3X 1. = ( x2 + 1 x)2 − 2. Putting the value of ( x2 +1 )=3x.

The Control Room Manifold Recording
The Control Room Manifold Recording

= (x + 1 x)2 − 2. In this technique, if we have to factorise an expression like ax2 + bx +c, we need to think. Web the solution is x = log(5)2 explanation: Enter the equation you want to solve into the editor. Putting the value of ( x2 +1 )=3x. Step 1 :equation at the end of step 1 : Let p(x) be any polynomial of degree greater than or equal to one and. Our calculator allows you to check your solutions to calculus exercises. Web simplify x^2+3x | mathway algebra examples popular problems algebra simplify x^2+3x x2 + 3x x 2 + 3 x nothing further can be done with this topic. Y = − 3 2 y =.

Web click here👆to get an answer to your question ️ factorise: X2 −3x + 1 = 0 given. Web 交换人生主演: 雷佳音 张小斐 张宥浩. Web algebra equation solver step 1: Web click here👆to get an answer to your question ️ factorise: Replace the variable with in the expression. = ( x2 + 1 x)2 − 2. Web 2x2 + 3x +1. Putting the value of ( x2 +1 )=3x. Web given a general quadratic equation of the form ax²+bx+c=0 with x representing an unknown, with a, b and c representing constants, and with a ≠ 0, the quadratic formula. Let p(x) be any polynomial of degree greater than or equal to one and.