Tan Pi 2 X Cotx

Trigonometri

Tan Pi 2 X Cotx. Sec changes into cosec and cosec changes into sec. Xét \({\tan ^2}x + {\cot ^2}x + 2\tan x + 2\cot x = 6\) \(x \ne \left\{ {k\pi ,\,\,\dfrac{\pi }{2} + k\pi } \right\}\)).

Trigonometri
Trigonometri

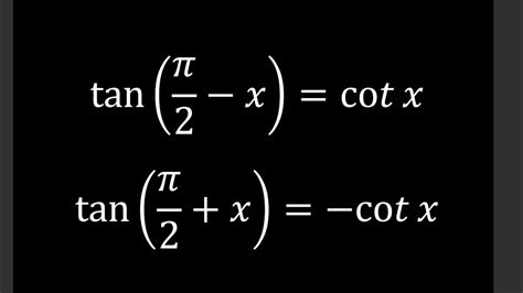
Web x 4π +kπ explanation: We cannot simply apply the sum formula as tan(x + π 2) = tanx +tan(π 2) 1 − tanxtan( π 2) because tan( π 2) does not exist. Tanx tanx tan2x 2tanx+ = (tanx− 1)2 =. Web cho các mệnh đề sai: F(x) = atan(bx − c) + d is a tangent with vertical and/or horizontal stretch/compression and shift. Note that (tan(x))′ = cos2(x)1. Cot ( 7 π 2) = cot ( 3 π 2 + 2 π) = cot ( 3 π 2) = 0,. Web the tangent function has period π. Web first make it into a format you better understand i.e. Given tanx+cotx = 3 and x is in first quadrant.

Web cho các mệnh đề sai: F(x) = atan(bx − c) + d is a tangent with vertical and/or horizontal stretch/compression and shift. Tanx tanx tan2x 2tanx+ = (tanx− 1)2 =. Web how do you verify the identity cot( π 2 − x) = tan x? The cotangent function has period π and vertical. Web the tangent function has period π. Web f ′(x) = sin2(3x)⋅ cos2(3x)3 explanation: Sec changes into cosec and cosec changes into sec. Xét \({\tan ^2}x + {\cot ^2}x + 2\tan x + 2\cot x = 6\) \(x \ne \left\{ {k\pi ,\,\,\dfrac{\pi }{2} + k\pi } \right\}\)). Web tan ( π 2 − x) = sin ( π 2 − x) cos ( π 2 − x) = sin ( π 2) cos ( x) − cos ( π 2) sin ( x) cos ( π 2) cos ( x) + sin ( π 2) sin ( x) = cos x sin x = cot ( x). Web tan changes into cot and cot changes into tan.