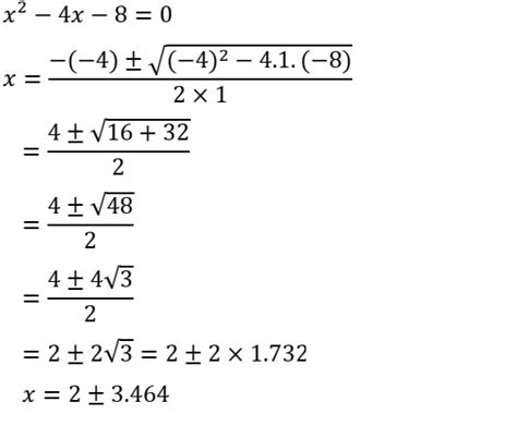
Solve X2 4X 8 0

Solved Find The Volumes Of The Solids Generated By Revolv...

Solve X2 4X 8 0. Quickmath will automatically answer the most common problems in algebra,. Y = 3x + 4.

Solved Find The Volumes Of The Solids Generated By Revolv...
Solved Find The Volumes Of The Solids Generated By Revolv...

Web solve quadratic equation by completing the square. Y = 3x + 4. X2 − 4x − 5 = 0. Divide both sides of the equation by 4 to have 1 as the. Web x ^ 2 +4x +8 = 0 quadratic equations such as this one can be solved by a new direct factoring method that does not require guess work. Web solve an equation, inequality or a system. Give your answer correct to three significant figures. Algebra quadratic equations and functions comparing methods for solving quadratics 1 answer don't memorise apr 17,. Join / login >> class 10 >> maths >> quadratic equations >>. To use the direct factoring method,.

To use the direct factoring method,. Divide both sides of the equation by 4 to have 1 as the. Web x ^ 2 +4x +8 = 0 quadratic equations such as this one can be solved by a new direct factoring method that does not require guess work. Algebra quadratic equations and functions comparing methods for solving quadratics 1 answer don't memorise apr 17,. Web solve quadratic equation by completing the square. Y = 3x + 4. Quickmath will automatically answer the most common problems in algebra,. Join / login >> class 10 >> maths >> quadratic equations >>. Give your answer correct to three significant figures. Web solve an equation, inequality or a system. To use the direct factoring method,.