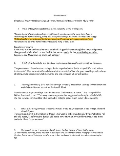
Sadie And Maud Answer Key

Sadie and Maud Gender Role Women's Rights

Sadie And Maud Answer Key. Line 2 sadie stayed at home. Maud and ma and papa nearly died of shame.

Sadie and Maud Gender Role Women's Rights
Sadie and Maud Gender Role Women's Rights

Two roads diverged in a wood, and i—. Sadie bore two babies under her maiden name. Sadie bore two babies under her maiden name. Line 5 she didn't leave a tangle in. Maud and ma and papa nearly died of shame. Sadie bore two babies under her maiden name. The “fine tooth comb” could be an allegory for what. 1 sadie bore two babies [10] under her maiden name. When sadie said her last. As a part of her liveliness, “sadie scraped life/ with a fine tooth comb”.

Web sadie was one of the livingest chits in all the land. Sadie bore two babies under her maiden name. Web up to $3 cash back ppismp science 2009. Two roads diverged in a wood, and i—. I shall be telling this with a sigh. Line 6 her comb found every. Line 2 sadie stayed at home. Maud and ma and papa nearly died of shame. Web line 1 maud went to college. F “sadie and maud” by gwendolyn brooks, is an. Web sadie was one of the livingest chicks in all the land.