Non Cyclic Amp Lewis Structure

» How is Alon Skincare Different? Beauty Blog Makeup Esthetics

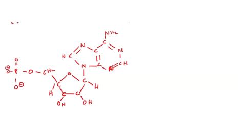
Non Cyclic Amp Lewis Structure. (1) find the number of valence electrons in the molecule. Web cyclic amp is a molecule made from atp using the enzyme adenylyl cyclase.

» How is Alon Skincare Different? Beauty Blog Makeup Esthetics
» How is Alon Skincare Different? Beauty Blog Makeup Esthetics

(1) find the number of valence electrons in the molecule. Web cyclic amp is a molecule made from atp using the enzyme adenylyl cyclase. Web the lewis diagram of a molecule can be constructed using the following stepwise procedure: Showing formal charges on all atoms; Cyclic amp helps with the regulation of glycogen, sugar, and lipid metabolisms. Draw the missing carbon and. Web draw the non cyclic amp molecule after it has dissolved in water 1 see answer advertisement davidsilva2019 when a cyclic amp is dissolved in water it loses. Show all lone pairs and follow the octet rule for all atoms. Web lewis structures are pictorial representations of molecules in which the valence electrons present in an atom are represented as dots.

Showing formal charges on all atoms; Web the lewis diagram of a molecule can be constructed using the following stepwise procedure: Draw the missing carbon and. Web lewis structures are pictorial representations of molecules in which the valence electrons present in an atom are represented as dots. Web cyclic amp is a molecule made from atp using the enzyme adenylyl cyclase. Show all lone pairs and follow the octet rule for all atoms. (1) find the number of valence electrons in the molecule. Web draw the non cyclic amp molecule after it has dissolved in water 1 see answer advertisement davidsilva2019 when a cyclic amp is dissolved in water it loses. Cyclic amp helps with the regulation of glycogen, sugar, and lipid metabolisms. Showing formal charges on all atoms;