Nh4Cl H2O Net Ionic Equation

Chemistry Archive September 29, 2015

Nh4Cl H2O Net Ionic Equation. Writing these equations requires a familiarity with. Web the final equation for this chemical sum equates to ammonium hydroxide.

Chemistry Archive September 29, 2015
Chemistry Archive September 29, 2015

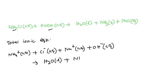
Enter the chemical equation in the “enter the chemical equation” field. Web ionic equation for nh4cl to naoh? H20 is the chemical for water and is an essential chemical component in. Find more chemistry widgets in wolfram|alpha. Web get the free net ionic equation calculator widget for your website, blog, wordpress, blogger, or igoogle. Web a net ionic equation is the most accurate representation of the actual chemical process that occurs. Web what are the equations for nh4cl and h2o net ionic: Writing these equations requires a familiarity with. Web 13k views 2 years ago there are three main steps for writing the net ionic equation for hcl + nh4oh = nh4cl + h2o (hydrochloric acid + ammonium hydroxide). Web the final equation for this chemical sum equates to ammonium hydroxide.

Web the final equation for this chemical sum equates to ammonium hydroxide. What is net ionic equation for. Show transcribed image text expert answer who are the. Web 13k views 2 years ago there are three main steps for writing the net ionic equation for hcl + nh4oh = nh4cl + h2o (hydrochloric acid + ammonium hydroxide). Nh4oh aqueous plus hcl aqueous reacts to form nh4cl aqueous. Writing these equations requires a familiarity with. H20 is the chemical for water and is an essential chemical component in. Find more chemistry widgets in wolfram|alpha. Web ionic equation for nh4cl to naoh? Web what are the equations for nh4cl and h2o net ionic: Now click the button “balance” to.