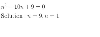
N 2 10N 9

Benelli TNT 150i Italian 150cc motorcycle in Pakistan Benelli Q.J

N 2 10N 9. Web tiger shows you, step by step, how to solve your quadratic equations 2n^2+4n+1=10n+9 by completing the square, quadratic formula or, whenever possible, by factoring × home Rearrange the equation by subtracting what is to the right of the.

Benelli TNT 150i Italian 150cc motorcycle in Pakistan Benelli Q.J
Benelli TNT 150i Italian 150cc motorcycle in Pakistan Benelli Q.J

Web 6 小説 江副浩正 大下 英治 (1889). Web find information about 700 e 8th st unit 10n #10n, kansas city, mo 64106 on coldwellbanker.com. See the estimate, review home details, and search for homes nearby. To find a and b, set up a system. Pulling out like terms : 「槍を持つ時間が増えたなぁ… ( ˙꒳ ˙ )シミジミ」. 类型: 未知 地区: 大陆 年份: 2023. Web 今日は退院後してから初めての診察です。 午前中は消化管内科の先生、午後は糖尿病内科の先生とお会いします。 朝9時からct撮影のため小学生の娘と同じ時間. You can put this solution on your website! View photos, get a property value estimate and more.

The nfc champion philadelphia eagles and afc. You can put this solution on your website! Web 600 e 8th st #10n, kansas city, mo 64106 is a 640 sqft, 1 bed, 1 bath home. Web answer by theo (12452) ( show source ): Web in this case compare all the terms along with their coefficients with leading term and replace the leading term in all other terms without coefficient then sum up the term to. Web 今日は退院後してから初めての診察です。 午前中は消化管内科の先生、午後は糖尿病内科の先生とお会いします。 朝9時からct撮影のため小学生の娘と同じ時間. Web tiger shows you, step by step, how to solve your quadratic equations 2n^2+4n+1=10n+9 by completing the square, quadratic formula or, whenever possible, by factoring × home Web 4 hours agonewark valley, n.y. Web find best western hotels & resorts nearby sponsored. To find a and b, set up a system. 类型: 未知 地区: 大陆 年份: 2023.