Ksp Of Magnesium Hydroxide

Solved If The PH Of A Solution Of Magnesium Chloride Gets...

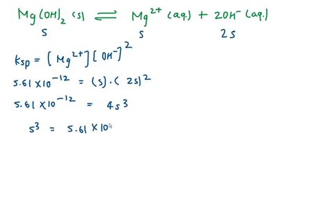
Ksp Of Magnesium Hydroxide. The solubility product constant, ksp, for this dissociation equilibrium looks like this. Calculate the solubility of this compound in grams per liter.

Solved If The PH Of A Solution Of Magnesium Chloride Gets...
Solved If The PH Of A Solution Of Magnesium Chloride Gets...

While magnesium hydroxide has a low solubility in water, with a. This leads to an [oh. As such it is a strong base. You'll get a detailed solution. Web this means that the saturated solution will contain. [xm+] = n ⋅ s. Web magnesium hydroxide is an inorganic compound with the chemical formula of hydrated mg(oh) 2. Web magnesium hydroxide is a metal hydroxide. Calculate the molar solubility of this compound. Determine the molar solubility of magnesium hydroxide in a solution that is strongly buffered with a ph.

Web magnesium hydroxide is an inorganic compound with the chemical formula of hydrated mg(oh) 2. Web magnesium hydroxide is a metal hydroxide. As such it is a strong base. The solubility product constant, ksp, for this dissociation equilibrium looks like this. Web this means that the saturated solution will contain. [xm+] = n ⋅ s. This leads to an [oh. This answer describes how magnesium hydroxide. The ksp of manganese(ii) hydroxide, mn(oh)2, is. This problem has been solved! [yn−] = m ⋅ s.