Ixl Trigonometry Answer Key

Radius Of A Circular Arc Equation Tessshebaylo

Ixl Trigonometry Answer Key. Grade 8 skills s.1 pythagorean theorem: Web here are some ways to get answers from ixl:

Radius Of A Circular Arc Equation Tessshebaylo
Radius Of A Circular Arc Equation Tessshebaylo

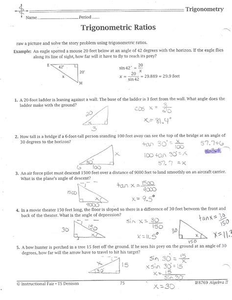
35 images about ixl | trigonometric ratios: Web how to get ixl answers: When they start using ixl, most students indicate that the assignments are very challenging. Web plus each one comes with an answer key. Go to your account and sign in step 2: Web steps you can follow to answer ixl assignment quizzes. That way, you can do 12 problems in one sitting, and you won't get bored of answering the same. This brings us to the main question, “how do you get. It is a powerful learning aid that can help any student succeed in their. Ixl's smartscore is a dynamic measure of progress towards mastery, rather than a percentage grade.

Web steps you can follow to answer ixl assignment quizzes. There are four methods you can use to cheat on ixl and get the answers you need to get a high. Go to the ixl dashboard how to get answers on ixl. Web here are some ways to get answers from ixl: Web ixl trigonometry answer key ixl | trigonometric ratios: Web steps you can follow to answer ixl assignment quizzes. Find the length of the hypotenuse s.2. Go to your account and sign in step 2: Grade 8 skills s.1 pythagorean theorem: Web plus each one comes with an answer key. Web how to get ixl answers: