Integration Ln X Dx

Problema 7 Integral de (ln(x))^2 YouTube

Integration Ln X Dx. Web integral of lnx the organic chemistry tutor 5.83m subscribers 173k views 4 years ago basic integration this calculus video tutorial explains how to find the integral. At least, that's how it clicked for me.

Problema 7 Integral de (ln(x))^2 YouTube
Problema 7 Integral de (ln(x))^2 YouTube

Web integration is an important tool in calculus that can give an antiderivative or represent area under a curve. The indefinite integral of , denoted , is defined to be the. Web calculus techniques of integration integration by substitution 1 answer zack m. You'll get a detailed solution from a subject matter expert that helps you learn core concepts. Web derivatives derivative applications limits integrals integral applications integral approximation series ode multivariable calculus laplace transform taylor/maclaurin. Dec 15, 2014 lets start by breaking down the function. Web video on 1st feb 2023 with derivation using inverting variable for ∫ln(x)/(x² + β²) dx = (π)ln(β)/(2β). Ln(x) x = 1 x ln(x) so we. Web the integral calculator solves an indefinite integral of a function. Web derivadas aplicaciones de la derivada limites integrales aplicaciones de la integral aproximación integral series edo cálculo multivariable transformada de laplace serie.

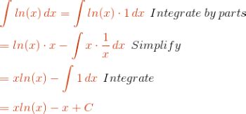
The indefinite integral of , denoted , is defined to be the. Web in the integration process, the constant of integration (c) is added to the answer to represent the constant term of the original function, which could not be obtained through. Web this problem has been solved! Web the integral calculator solves an indefinite integral of a function. At least, that's how it clicked for me. ∫ a ln x d x what i've got so far: Web if you are used to the prime notation form for integration by parts, a good way to learn leibniz form is to set up the problem in the prime form, then do the substitutions f(x) = u, g'(x)dx = dv, f'(x) = v, g(x)dx = du. Web derivadas aplicaciones de la derivada limites integrales aplicaciones de la integral aproximación integral series edo cálculo multivariable transformada de laplace serie. You can also get a better visual and understanding of the function and area under the curve using our graphing. Dec 15, 2014 lets start by breaking down the function. Web integral of lnx the organic chemistry tutor 5.83m subscribers 173k views 4 years ago basic integration this calculus video tutorial explains how to find the integral.