Integral Ln X Dx

How To Integrate Ln integration by parts example. integral of X^6 ln

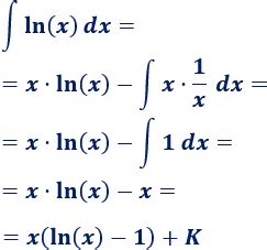
Integral Ln X Dx. Using the identity a x = e ln a x = e x ln x a ln x = e ln a ln x = e ln x ln a therefore: Web derivatives derivative applications limits integrals integral applications integral approximation series ode multivariable calculus laplace transform taylor/maclaurin.

How To Integrate Ln integration by parts example. integral of X^6 ln
How To Integrate Ln integration by parts example. integral of X^6 ln

Calculus introduction to integration definite and indefinite integrals 1 answer eddie jul 3, 2016 = x2 2 lnx − x2 4 +c explanation: F (x) = 1 x g(x) = ln(x) but the derivative of ln(x) is 1 x, so f (x) = g'(x). Web how to solve the integral of ln (x) the indefinite integral of ln (x) is given as: Web derivadas aplicaciones de la derivada limites integrales aplicaciones de la integral aproximación integral series edo cálculo multivariable transformada de laplace serie. It is customary to include the constant c to indicate that there are an infinite number of. Web wolfram|alpha is a great tool for calculating antiderivatives and definite integrals, double and triple integrals, and improper integrals. Web in differential calculus we learned that the derivative of ln(x) is 1/x. The integral (or antiderivative) of 1/x should be a function whose derivative is 1/x. Using the identity a x = e ln a x = e x ln x a ln x = e ln a ln x = e ln x ln a therefore: Web derivatives derivative applications limits integrals integral applications integral approximation series ode multivariable calculus laplace transform taylor/maclaurin.

Web derivatives derivative applications limits integrals integral applications integral approximation series ode multivariable calculus laplace transform taylor/maclaurin. Web derivatives derivative applications limits integrals integral applications integral approximation series ode multivariable calculus laplace transform taylor/maclaurin. The integral (or antiderivative) of 1/x should be a function whose derivative is 1/x. Integration goes the other way: Calculus introduction to integration definite and indefinite integrals 1 answer eddie jul 3, 2016 = x2 2 lnx − x2 4 +c explanation: Web integral of lnx the organic chemistry tutor 5.83m subscribers 173k views 4 years ago basic integration this calculus video tutorial explains how to find the integral. It is customary to include the constant c to indicate that there are an infinite number of. Web derivatives derivative applications limits integrals integral applications integral approximation series ode multivariable calculus laplace transform taylor/maclaurin. Web the integral calculator solves an indefinite integral of a function. We can evaluate the integral of ln x (integration of log x with base e) using the integration by. Web derivatives derivative applications limits integrals integral applications integral approximation series ode multivariable calculus laplace transform taylor/maclaurin.