Finding Value Of K

HiVision 20 Slim Sliding Doors Slimline Patio Doors

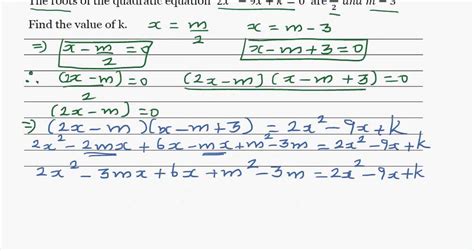
Finding Value Of K. Web the equilibrium phase distribution ratio (k value) is defined in equation 1 (see attached equation box). Web k = 144/8 k = 18 so, the value of k is 18 example 2 :

HiVision 20 Slim Sliding Doors Slimline Patio Doors
HiVision 20 Slim Sliding Doors Slimline Patio Doors

Of units in the sample) ⇒ k= 50/9 ⇒ k= 5.56 ⇒ k= 6 (rounding the value. When you multiply the reaction by a. Web for a, you would divide 1/k to find the new k. In si base units it is equal to. Given, 3x2 + 16x + k = 0 by comparing ax2 + bx + c = 0 in the given equation,. Web if data set size: For a system in equilibrium, tv = tl, pv = pl, and iv = il. Web if k=1, it will be that point itself and hence it will always give 100% score on the training data. Rounding may occur changes like 1 in the sample size. Web the coulomb constant, the electric force constant, or the electrostatic constant(denoted ke, kor k) is a proportionality constantin electrostaticsequations.

Web if k=1, it will be that point itself and hence it will always give 100% score on the training data. Of units in the sample) ⇒ k= 50/9 ⇒ k= 5.56 ⇒ k= 6 (rounding the value. In which f is the fugacity, ϕ. Given, 3x2 + 16x + k = 0 by comparing ax2 + bx + c = 0 in the given equation,. We can choose k value as 3 or 4 note: When you multiply the reaction by a. Web k = 144/8 k = 18 so, the value of k is 18 example 2 : Web the coulomb constant, the electric force constant, or the electrostatic constant(denoted ke, kor k) is a proportionality constantin electrostaticsequations. Web the equilibrium phase distribution ratio (k value) is defined in equation 1 (see attached equation box). Finding a financial advisor doesn’t have to be hard. In si base units it is equal to.