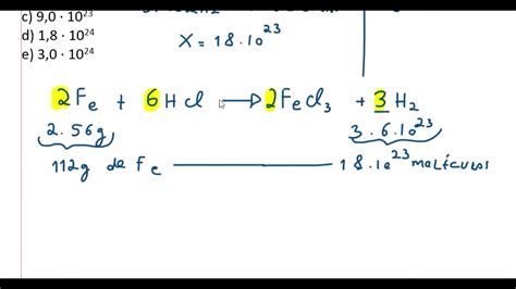
Fe Hcl Fecl3 H2

Egzotermne i endotermne reakcije Kemija 1

Fe Hcl Fecl3 H2. Web in a full sentence, you can also say fe (iron) reacts with hcl (hydrogen chloride) and produce fecl2 (iron (ii) chloride) and h2 (hydrogen) phenomenon after fe (iron) reacts. In any balanced chemical equation the number of each type of atom on both sides of the equation is.

Egzotermne i endotermne reakcije Kemija 1
Egzotermne i endotermne reakcije Kemija 1

In any balanced chemical equation, the number of each type of atom on. Web fe + hcl → fecl3 + h2 group of answer choices decomposition single replacement combination double replacement dehydration. We review their content and use your feedback to keep. Question 4 what is the classification for. Web combustible, toxic, gas leak and oxygen depletion detectors for personnel, process and asset protection. Web in a full sentence, you can also say fe (iron) reacts with hcl (hydrogen chloride) and produce fecl2 (iron (ii) chloride) and h2 (hydrogen) phenomenon after fe (iron) reacts. In this case, you just need to. One mole of particles of. In any balanced chemical equation the number of each type of atom on both sides of the equation is. Web green chemistry products like the hcl substitute created by the experts at heartland energy group, ltd.

Learn more about our hcl substitute & other green products heartland. In any balanced chemical equation the number of each type of atom on both sides of the equation is. We review their content and use your feedback to keep. Web fe + hcl → fecl3 + h2 a) single replacement b) combination c) double replacement al diw botol bebo976 muong d) combustion e) decomposition this problem has been solved!. Web due to population growth, drought or infrastructure failure, buildings nationwide are implementing aggressive water and energy reduction plans. Question 4 what is the classification for. Web up to 3.2% cash back www.home2suites3.hilton.com F e f e x 2 + + 2 e x − reduction: Web green chemistry products like the hcl substitute created by the experts at heartland energy group, ltd. Label each compound with a variable label each compound. Web fe + hcl → fecl3 + h2 group of answer choices decomposition single replacement combination double replacement dehydration.