Factor X3-4X2+7X-28 By Grouping

Factor x3 4x2 + 7x 28 by grouping. What is the resulting expression?

Factor X3-4X2+7X-28 By Grouping. What is the resulting expression? Web press j to jump to the feed.

Factor x3 4x2 + 7x 28 by grouping. What is the resulting expression?
Factor x3 4x2 + 7x 28 by grouping. What is the resulting expression?

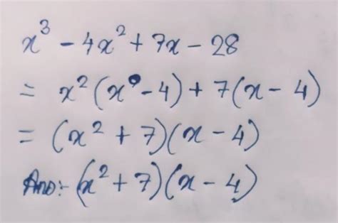
What is the resulting expression? Web consider polynomial you can group first two terms and last two terms: In first brackets the common factor is and in second brackets the common factor is 7, then. Press question mark to learn the rest of the keyboard shortcuts Web in mathematics, an expression is defined as a set of numbers, variables, and mathematical operations formed according to rules dependent on the context. Web popular problems algebra factor by grouping x^3+4x^2+7x+28 x3 + 4x2 + 7x + 28 x 3 + 4 x 2 + 7 x + 28 factor out the greatest common factor from each group. Web for more than 20 years earth networks has operated the world’s largest and most comprehensive weather observation, lightning detection, and climate networks. What is the resulting expression? Virginia managed investments is an. Web press j to jump to the feed.

What is the resulting expression? Web consider polynomial you can group first two terms and last two terms: Press question mark to learn the rest of the keyboard shortcuts Web popular problems algebra factor by grouping x^3+4x^2+7x+28 x3 + 4x2 + 7x + 28 x 3 + 4 x 2 + 7 x + 28 factor out the greatest common factor from each group. Web for more than 20 years earth networks has operated the world’s largest and most comprehensive weather observation, lightning detection, and climate networks. Virginia managed investments is an. What is the resulting expression? Web press j to jump to the feed. In first brackets the common factor is and in second brackets the common factor is 7, then. Web in mathematics, an expression is defined as a set of numbers, variables, and mathematical operations formed according to rules dependent on the context. What is the resulting expression?