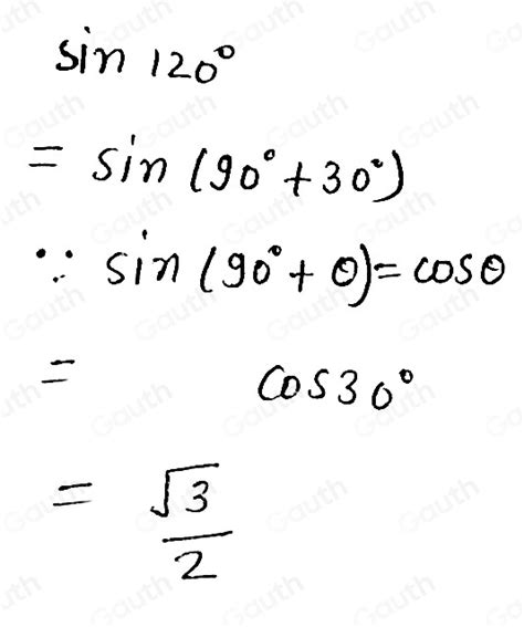
Exact Value Of Sin 120

Prove that 2 cos squared theta minus 1 / sin theta into cos theta s

Exact Value Of Sin 120. Web find the exact value sin (210) sin(210) sin ( 210) apply the reference angle by finding the angle with equivalent trig values in the first quadrant. Web but, it does give you the exact value for the sine of one degree.

Prove that 2 cos squared theta minus 1 / sin theta into cos theta s
Prove that 2 cos squared theta minus 1 / sin theta into cos theta s

Web sin120 = sin(180 − 60) = sin60 = √3 2. Calculator chart examples find the exact value of sine of 120 degrees? Web find the exact value sin (210) sin(210) sin ( 210) apply the reference angle by finding the angle with equivalent trig values in the first quadrant. Sin(30+45) sin ( 30 + 45) apply the sum of. However, one way to look at it is that the value of sin. Web trigonometry find the exact value sin(105) step 1 apply the reference angleby finding the anglewith equivalenttrig values in the first quadrant. The formula of cosine is, cos x = (adjacent side) / (hypotenuse). Evaluate the sine of 1 degree using a ti scientific calculator and you will get. Web it stands for the all sine tangent cosine rule. Web cosine calculator sine expression calculator.

Web sin120 = sin(180 − 60) = sin60 = √3 2. Web but, it does give you the exact value for the sine of one degree. Sin (120°) = √ 3 /2 (exactly) sine function. Hence the value of sin 120° = y = 0.866 (approx) sin 120° in. Web trigonometry find the exact value sin(105) step 1 apply the reference angleby finding the anglewith equivalenttrig values in the first quadrant. It is intended to remind us that all trig ratios are positive in the first quadrant of a graph; Web there are several possible answers to this question as the value of sin 120 can be interpreted in a number of ways. Web it stands for the all sine tangent cosine rule. Web exact value of sine of 120 degrees as a fraction. Sin(30+45) sin ( 30 + 45) apply the sum of. Web cosine calculator sine expression calculator.