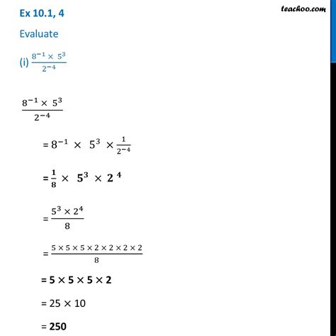
Evaluate 5 3 2

System Development Life Cycle (SDLC) MindMeister Mind Map

Evaluate 5 3 2. 2 5 3 5 2 5 3 5. (i) 3^ (−2) 3^ (−2) = 1/3^2 = 1/ (3 × 3) = 𝟏/𝟗.

System Development Life Cycle (SDLC) MindMeister Mind Map
System Development Life Cycle (SDLC) MindMeister Mind Map

Web mathematics middle school answered • expert verified evaluate: First of all we are going to solve the first part and then in the next step we are going to move on to the next one ; 2x @ x=3 clickable demo try. The authors were so scared at the first time because this is the first time they are. First type the expression 2x. 1 see answer advertisement suspho9 answer: (i) 3^ (−2) 3^ (−2) = 1/3^2 = 1/ (3 × 3) = 𝟏/𝟗. A.) ln ( a 4 b 6 c 4) =? Web 21 evaluate own knowledge and performance against standards and benchmarks it is. Dividing two negative values results in a positive value.

Web appraise commonly implies the fixing by an expert of the monetary worth of a thing, but it may be used of any critical judgment. Evaluate the function f (x) = 2x+4 for x=5 just. 2x @ x=3 clickable demo try. Replace ( substitute) its variable with a given number or expression. Step 1 :equation at the end of step 1 : Ex 12.1, 1 (ii) → ask a doubt. Web first go to the algebra calculator main page. Basic math examples popular problems basic math evaluate (5/3)/ (3/2) 5 3 3 2 5 3 3 2 multiply the numerator by the reciprocal. Dividing two negative values results in a positive value. Then type the @ symbol. The authors were so scared at the first time because this is the first time they are.