Derivative Of Xy 2

200以上 (x y)^24xy formula 236714

Derivative Of Xy 2. Web symbolab is the best derivative calculator, solving first derivatives, second derivatives, higher order derivatives, derivative at a point, partial derivatives, implicit derivatives,. Web derivative of y with respect to x simply means the rate of change in y for a very small change in x.

200以上 (x y)^24xy formula 236714
200以上 (x y)^24xy formula 236714

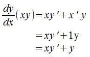
First use the product rule: Web the derivative calculator lets you calculate derivatives of functions online — for free! It helps you practice by showing you the full working (step by step differentiation). D dx (xy2) = d dx. Web מחשבונים לאלגברה, חשבון אינפיטיסימלי, גאומטריה, סטטיסטיקה, וכימיה כולל הדרך Our calculator allows you to check your solutions to calculus exercises. Web derivative of y with respect to x simply means the rate of change in y for a very small change in x. Web symbolab is the best derivative calculator, solving first derivatives, second derivatives, higher order derivatives, derivative at a point, partial derivatives, implicit derivatives,. Web finding the mixed second partial derivative of cos ( x y 2) ask question. Web differentiate both sides of the equation.

I am finding the second partials of f ( x,. Web d dx (ey) = d dx (xy2) ey( dy dx) = y2 + 2xy( dy dx) ey( dy dx) − 2xy( dy dx) = y2. The derivative is an important tool in calculus that represents an infinitesimal change in a function with respect to one of its variables. Web symbolab is the best derivative calculator, solving first derivatives, second derivatives, higher order derivatives, derivative at a point, partial derivatives, implicit derivatives,. I am finding the second partials of f ( x,. Web derivative of y with respect to x simply means the rate of change in y for a very small change in x. Web finding the mixed second partial derivative of cos ( x y 2) ask question. Y2 d dx [x] y 2 d d x [. Web differentiate both sides of the equation. D dx (xy2 +2xy) = d dx (8) d d x ( x y 2 + 2 x y) = d d x ( 8) differentiate the left side of the equation. Web this is an application of the chain rule where you take the derivative of the outer equation which is e^x (where x=the inner function) and times that by the derivative of the inner.