Derivative Of Sin 3X

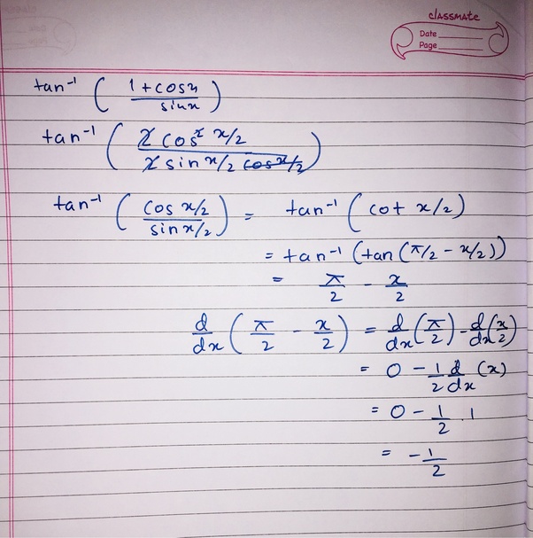
How can we solve, ‘tan inverse 1 + cosx/sinx’ differentiate with

Derivative Of Sin 3X. Web derivatives of sin(x), sin^2(x) and sin^3(x).derivatives of sin(x), sin^2(x) and sin^3(x).thanks for watching.#shorts #differentiation #integration #sinx #co. (graduated 2009) · 4y · assuming you know that the derivatives of sin ⁡ x.

How can we solve, ‘tan inverse 1 + cosx/sinx’ differentiate with
How can we solve, ‘tan inverse 1 + cosx/sinx’ differentiate with

Web solve for x and y x/a = y/b ax+by = a² + b². Web 3cos(3x) the chain rule is a tool for differentiating composite functions, that is, a function inside a function. It is also known as. This can be thought of as the. Web derivatives » tips for entering queries. Or, we can directly find the derivative of sin (3x) by applying the first. Find the derivative of sin 3 x. Web 6 rows the derivative of sin^3x (read as sin cube x) is equal to 3 sin 2 x cosx. N^{th} derivatives of trigonometric functions having powers in them are tough to deal with, which is why we will employ these two power reducing identities. Web hence, the derivative of sin (x+1), with respect to x is cos (x+1).

Web important notes on sin 3x. The graph of sin3x is narrower than the graph of sin x as the period of sin 3 is 2π/3. Differentiate w.r.t x using chain rule. (graduated 2009) · 4y · assuming you know that the derivatives of sin ⁡ x. It is the rate of change of the trigonometric function cos. Web the derivative of sin (3x) can be calculated by following the rules of differentiation. Web solve for x and y x/a = y/b ax+by = a² + b². Find the derivative of sin 3 x. I’ve just written about the the k th derivative of the n th power of sin (and cos and. N^{th} derivatives of trigonometric functions having powers in them are tough to deal with, which is why we will employ these two power reducing identities. Web 6 rows the derivative of sin^3x (read as sin cube x) is equal to 3 sin 2 x cosx.