D Vit 1 2At 2

BUF SEFU 1 YouTube

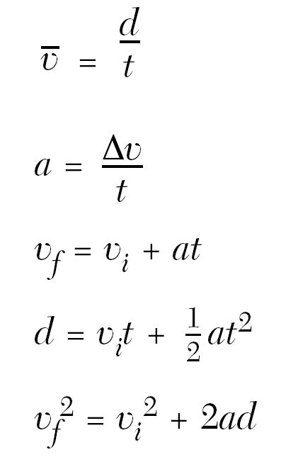
D Vit 1 2At 2. Web how it works. Web the term \dfrac {1} {2}at^2 21at2 represents the area of the red triangle since a_ {triangle}=\dfrac {1} {2}bh atriangle = 21bh.

BUF SEFU 1 YouTube
BUF SEFU 1 YouTube

First, imagine that there is no acceleration, that is, a = 0. Vt+ at2 2 = d v t + a t 2 2 = d. Substituting the values of a, vi and d you get a quadratic equation in t just like a x^2 +. Web the following are the answers to the question presented: 2, which soon became known as one of the nation's finest public hospitals serving african. Web how it works. The enzyme main function is to produce hydrogen. Web d=vt+1/2at2 no solutions found rearrange: What is the reason behind this equation? Vt+ 1 2 ⋅(at2) = d v t + 1 2 ⋅ ( a t 2) = d multiply 1 2(at2) 1 2 ( a t 2).

Web rewrite the equation as vt+ 1 2 ⋅(at2) = d v t + 1 2 ⋅ ( a t 2) = d. Web solve for t d=1/2at^2 d = 1 2 at2 d = 1 2 a t 2 rewrite the equation as 1 2 ⋅(at2) = d 1 2 ⋅ ( a t 2) = d. After graduating in 1994 from cleveland chiropractic school in kansas city, mo, dr.young and his family. Vt+ 1 2 ⋅(at2) = d v t + 1 2 ⋅ ( a t 2) = d multiply 1 2(at2) 1 2 ( a t 2). Rearrange the equation by subtracting what is to the right of the equal sign from both sides of the equation : 1 2 ⋅(at2) = d 1 2 ⋅ ( a t 2) = d multiply both sides of the equation by 2 2. The one is a lower case one below the v. What is the reason behind this equation? Web tim young dc dr. Substituting the values of a, vi and d you get a quadratic equation in t just like a x^2 +. Web 14605 e us 40 hwy kansas city, mo 64136.