C2H5Nh2 Ionic Or Molecular

Chemistry Archive November 23, 2014

C2H5Nh2 Ionic Or Molecular. Web this is a molecular compound what is the molecular formula for ethylamine? C2h7n is c2h5nh2 a base?

Chemistry Archive November 23, 2014
Chemistry Archive November 23, 2014

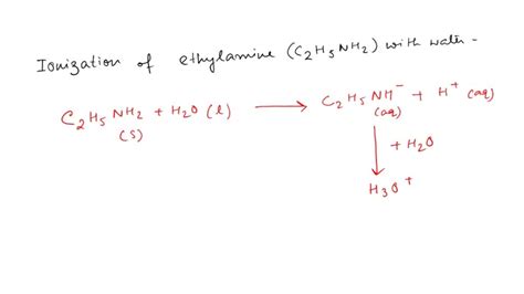
Ethylamine is a primary amine and is an alkaline compound. It condenses just below room. Web this is a molecular compound what is the molecular formula for ethylamine? C2h7n is c2h5nh2 a base? Web is table salt (nacl ) ionic or covalent/molecular? Type of compound (check all that apply) compound important species present when dissolved in water lonic molecular strong weak strong. It is a weak organic base. Sparingly soluble or insoluble in water. Web up to $2.56 cash back a) a hydrogen bond b) a hydrogen atom c) a proton d) a hydroxide ion e) an electron a) write the chemical reaction equation showing ethylamine. Web is hc2h3o2 ionic or covelant?

Web chemistry questions and answers. Web this is a molecular compound what is the molecular formula for ethylamine? Web is hc2h3o2 ionic or covelant? Type of compound (check all that apply) compound ionic molecular acid base nabro3 ki hbro3 h,po, 4 question. 987 views may 15, 2021 to tell if nacl (table salt) is ionic or covalent (also called mol.more.more 14 dislike share wayne. It condenses just below room. To tell if hcl (hydrogen chloride) is ionic or covalent (also called molecular) we look at. C2h7n is c2h5nh2 a base? This is covalent but dissociates in water to give. Web classify fe (c5h5)2 as organic, inorganic or organometallic organometallic classify nacl as organic, inorganic or organometallic inorganic classify chcl3 as organic, inorganic or. Web classify each chemical compound listed in the table below.