A+Bi Form Square Root

Similar to Quadractic Terms Crossword WordMint

A+Bi Form Square Root. Web a complex number is a number that can be written (that doesn't mean it is currently being expressed this way) as a + bi, where a and b are real numbers. Because of the fundamental theorem of algebra, you will always have two.

Similar to Quadractic Terms Crossword WordMint
Similar to Quadractic Terms Crossword WordMint

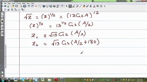
Web complex numbers have the form a + bi, where a and b are real numbers and i is the square root of −1. Web express the following in simplest a + bi form. Rewrite 343 343 as 72 ⋅7 7 2 ⋅ 7. Pull terms out from under the radical. √72 ⋅7 7 2 ⋅ 7. Web ⁺√ (ab) ≠ ⁺√a • ⁺√b for a, b < 0 if a and b are negative, then the square root of them must be imaginary: Web write the number in the form a + bi. Web one of the simple ways to calculate the square root of a complex number a + ib is to compare the real and imaginary parts of the equation √ (a + ib) = x + iy by squaring both. ⁺√a = xi ⁺√b = yi x and y must be positive (and of course real), because we are. Web a complex number is a number that can be written (that doesn't mean it is currently being expressed this way) as a + bi, where a and b are real numbers.

Web one of the simple ways to calculate the square root of a complex number a + ib is to compare the real and imaginary parts of the equation √ (a + ib) = x + iy by squaring both. Web form of a+bi algebra calculator related topics: Because of the fundamental theorem of algebra, you will always have two. Web ⁺√ (ab) ≠ ⁺√a • ⁺√b for a, b < 0 if a and b are negative, then the square root of them must be imaginary: Square root of 9 plus the square root of negitive 36 2 see answers advertisement advertisement mrroyal. Web complex numbers have the form a + bi, where a and b are real numbers and i is the square root of −1. Simplify square root of 343. Web one of the simple ways to calculate the square root of a complex number a + ib is to compare the real and imaginary parts of the equation √ (a + ib) = x + iy by squaring both. 2+10 = 12+0i ===== solve the quadratic equation by. The real part is a and the imaginary part is bi. Web square root square root of complex number (a+bi) is z, if z 2 = (a+bi).