5 Root 2 Square

The Largest Solar Plant In The World Is Now Operational

5 Root 2 Square. Web if you have a square with the side length of 2, the area is 4. Web square both sides, and x^2 = 4.

The Largest Solar Plant In The World Is Now Operational
The Largest Solar Plant In The World Is Now Operational

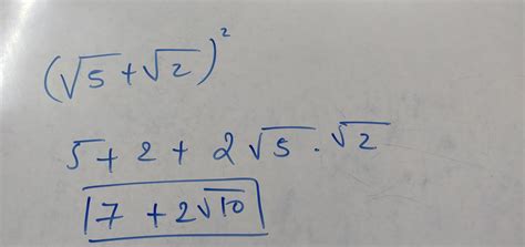
Web five root 2 is terribly ambiguous. Web simplify 2/ ( square root of 5) | mathway algebra examples popular problems algebra simplify 2/ ( square root of 5) 2 √5 2 5 multiply 2 √5 2 5 by √5 √5 5 5. Web if you have a square with the side length of 2, the area is 4. The square root of 5 rounded up to 5 decimal places is 2.23607. Cube root = 3 √ x. Web the square root of 2 is expressed as √2 in the radical form and as (2) ½ or (2) 0.5 in the exponent form. The square root calculator finds the square root of the given radical expression. Web some common roots include the square root, where n = 2, and the cubed root, where n = 3. 2 √5 ⋅ √5 √5 2 5 ⋅ 5. The square root of 2 rounded up to 10 decimal places is 1.4142135624.

Web some common roots include the square root, where n = 2, and the cubed root, where n = 3. Web square both sides, and x^2 = 4. Web some common roots include the square root, where n = 2, and the cubed root, where n = 3. Web the approximation 161 72 (≈ 2.23611) for the square root of five can be used. Web simplify 5 square root of 2 | mathway algebra examples popular problems algebra simplify 5 square root of 2 5√2 5 2 the result can be shown in multiple forms. The cube root of x is given by the formula: (4 squares of side 1). Web five root 2 is terribly ambiguous. 2 √5 ⋅ √5 √5 2 5 ⋅ 5. Cube root = 3 √ x. √5 √2 5 2 multiply √5.