4X 2 7X 3

Rago High Waist Leg Shaper Medium Shaping 6206 Women's

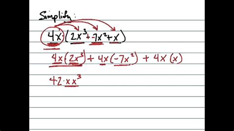
4X 2 7X 3. Web what are the solutions to the equation 4x^2+7x+3=0 ? Step 3 :pulling out like terms :

Rago High Waist Leg Shaper Medium Shaping 6206 Women's
Rago High Waist Leg Shaper Medium Shaping 6206 Women's

Algebra polynomials and factoring factorization of quadratic expressions 1 answer nghi n. Find the zeros of 4x^2+7x+3=0; Add up the first 2 terms, pulling out like factors. May 10, 2015 f (x) = 4x2 + 7x. Step 1 :equation at the end of step 1 : Web what are the solutions to the equation 4x^2+7x+3=0 ? For a polynomial of the form ax2 +bx+ c a x 2 + b x + c, rewrite the middle term as a sum of two terms whose product is a⋅c = 7⋅−3 =. X = 7/4 = 1.750 x = 0 step by step solution : If a polynomial function has integer coefficients, then every rational zero will. Web given a general quadratic equation of the form ax²+bx+c=0 with x representing an unknown, with a, b and c representing constants, and with a ≠ 0, the quadratic formula.

If a polynomial function has integer coefficients, then every rational zero will. Find the zeros of 4x^2+7x+3=0; Web how do you factor 4x2 + 7x + 3? Web given a general quadratic equation of the form ax²+bx+c=0 with x representing an unknown, with a, b and c representing constants, and with a ≠ 0, the quadratic formula. Step 1 :equation at the end of step 1 : Math can be an intimidating. X = 7/4 = 1.750 x = 0 step by step solution : May 10, 2015 f (x) = 4x2 + 7x. If a polynomial function has integer coefficients, then every rational zero will. Algebra polynomials and factoring factorization of quadratic expressions 1 answer nghi n. Step 3 :pulling out like terms :