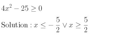
4X 2 25 0

Who would win, Guts (Berserk) vs Tsuna (Katekyo Hitman Reborn)? Quora

4X 2 25 0. 4x2−25+25=0+25(add 25 to both sides) 4x2=25. Earlier we factored this polynomial by splitting the middle term.

Who would win, Guts (Berserk) vs Tsuna (Katekyo Hitman Reborn)? Quora
Who would win, Guts (Berserk) vs Tsuna (Katekyo Hitman Reborn)? Quora

4x2−25+25=0+25(add 25 to both sides) 4x2=25. Step 1 :equation at the end of step 1 : Web what are the solutions to the equation 4x^2+16x+25=0 ? Answer by nate (3500) ( show source ): Found 2 solutions by nate, praseenakos@yahoo.com: Each new topic we learn. Earlier we factored this polynomial by splitting the middle term. Let us now solve the equation by completing the square and by using the. Helps you solve your homework assignments Web 4x2 + 25 = (2x − 5i)(2x +5i) explanation:

Let us now solve the equation by completing the square and by using the. Let us now solve the equation by completing the square and by using the. The kind of factors or roots, a quadratic function ax2 +bx +c, depends critically on the discriminant b2 − 4ac. Web 4x2 + 25 = (2x − 5i)(2x +5i) explanation: Let's find the critical points of the inequality. Web what are the solutions to the equation 4x^2+16x+25=0 ? Helps you solve your homework assignments You can put this solution on your website! Each new topic we learn. Step 1 :equation at the end of step 1 : Find the zeros of 4x^2+16x+25=0;