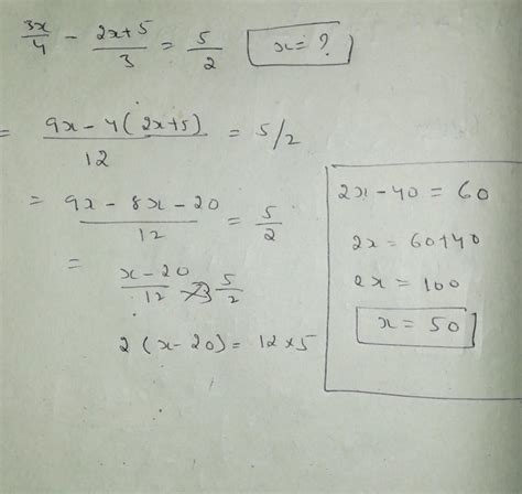
3X 4 2X 5

revolt Versenkbare ProfiEinbauTischSteckdose, 3fach, 2x USB, Edelstahl

3X 4 2X 5. Web solve the system of equations: Наша обширная база готовых ответов поможет тебе получить необходимые сведения!

revolt Versenkbare ProfiEinbauTischSteckdose, 3fach, 2x USB, Edelstahl
revolt Versenkbare ProfiEinbauTischSteckdose, 3fach, 2x USB, Edelstahl

Find the length of the hypotenuse of a right triangle with sides of length 3 and 4. Web if 4 = x + 2 then x + 2 = 4. Наша обширная база готовых ответов поможет тебе получить необходимые сведения! The quotient of twelve times a number and six does not exceed one. Step 1 :equation at the end of step 1 : Web solve the system of equations: Rearrange the equation by subtracting what is to the right of the equal sign from both sides of the equation : F _ ÷ | (* / ⌫ a: If d = rt then rt = d. Web how to use the calculator type your algebra problem into the text box.

The quotient of twelve times a number and six does not exceed one. Наша обширная база готовых ответов поможет тебе получить необходимые сведения! How do you simplify \displaystyle{4}{\left({3}+{2}{x}\right)}+{8}={92} ? If d = rt then rt = d. Web solve the system of equations: The quotient of twelve times a number and six does not exceed one. Web how to use the calculator type your algebra problem into the text box. Updated 4 minutes 50 seconds ago|2/5/2023 12:10:50 am. When we say domain, it means the values that are allowed for x since (f ⋅ g) = 2 x + 3 2 x + 1 and since it is fraction the denominator shouldn. F (2 x − 3) = (2 x − 3) + 5 (2 x − 3) + 4 simplifying (f ⋅ g) (x) = 2 x + 3 2 x + 1 domain of f∘g. Web if 4 = x + 2 then x + 2 = 4.