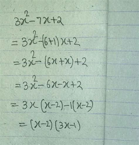
3X 2 7X 2

be quiet! Releases Images For The Silent Base 800 PC Case Ahead of

3X 2 7X 2. In this technique, if we have to factorise an expression like ax2 + bx +c, we. Web x ^ 2 +\frac{7}{3}x +\frac{2}{3} = 0 quadratic equations such as this one can be solved by a new direct factoring method that does not require guess work.

be quiet! Releases Images For The Silent Base 800 PC Case Ahead of
be quiet! Releases Images For The Silent Base 800 PC Case Ahead of

Step 1 :equation at the end of step 1 : 3x2 + x + 1 = 0 discriminant answers. X = 1/3 = 0.333 x = 2 step by step solution : Web welcome to sarthaks econnect: To use the direct factoring. Find the properties of the given parabola. Web x ^ 2 +\frac{7}{3}x +\frac{2}{3} = 0 quadratic equations such as this one can be solved by a new direct factoring method that does not require guess work. Web solve an equation, inequality or a system. F _ ÷ | (* / ⌫ a: Web more than just an online factoring calculator.

3 get iba pang mga katanungan: It also multiplies, divides and finds the greatest. (7 6, 25 12) ( 7 6, 25 12) focus: 3 get iba pang mga katanungan: 3x2 + x + 1 = 0 discriminant answers. Find the properties of the given parabola. Web x ^ 2 +\frac{7}{3}x +\frac{2}{3} = 0 quadratic equations such as this one can be solved by a new direct factoring method that does not require guess work. X = 1/3 = 0.333 x = 2 step by step solution : Step 1 :equation at the end of step 1 : A unique platform where students can interact with teachers/experts/students to get solutions to their queries. In this technique, if we have to factorise an expression like ax2 + bx +c, we.