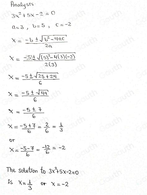
3X 2 5X 2 0

Shiaili Women's Long Plus Size Tunic Shirts Flowy Pocket Tops for

3X 2 5X 2 0. Step 1 :equation at the end of step 1 : If any individual factor on the left side of the equation is equal to 0 0,.

Shiaili Women's Long Plus Size Tunic Shirts Flowy Pocket Tops for
Shiaili Women's Long Plus Size Tunic Shirts Flowy Pocket Tops for

F _ ÷ | (* / ⌫ a: Web algebra solve using the quadratic formula 5x^2+3x=0 5x2 + 3x = 0 5 x 2 + 3 x = 0 use the quadratic formula to find the solutions. If any individual factor on the left side of the equation is equal to 0 0,. The equation is −3x2 −5x+ 2 = 0 the quadratic equation is ax2 +bx+c = 0. Web solve 3x 2−5x+2=0 by completing the square method. Medium solution verified by toppr given 3x 2−5x+2=0 here, the coefficient of x 2 is 3 and it is not a perfect square. 3x2 +10x− 8 = 0 explanation:. Step 1 :equation at the. Use the quadratic formula to find the solutions. Web the solution is s = {−2, 31} explanation:

Step 1 :equation at the. F _ ÷ | (* / ⌫ a: Step 1 :equation at the. Web solve an equation, inequality or a system. Web solve 3x 2−5x+2=0 by completing the square method. Web if the zeros of 3x2 + 5x −2 are α and β , then what quadratic has zeros 2α and 2β. 3x2 +10x− 8 = 0 explanation:. Web the solution is s = {−2, 31} explanation: Web algebra solve using the quadratic formula 5x^2+3x=0 5x2 + 3x = 0 5 x 2 + 3 x = 0 use the quadratic formula to find the solutions. Use the quadratic formula to find the solutions. The equation is −3x2 −5x+ 2 = 0 the quadratic equation is ax2 +bx+c = 0.