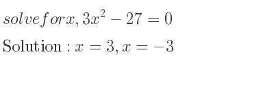
3X 2 27 0

Galilee Poncho Sweater Free Knitting Pattern — Blog.NobleKnits

3X 2 27 0. Wolfram|alpha is a great tool for factoring, expanding or simplifying polynomials. What i have in blue is called a difference of squares.

Galilee Poncho Sweater Free Knitting Pattern — Blog.NobleKnits
Galilee Poncho Sweater Free Knitting Pattern — Blog.NobleKnits

Web 3x2+27=0 two solutions were found : Khefkwhlmwqb khefkwhlmwqb 04/21/2017 mathematics high school answered solve. It also multiplies, divides and finds the greatest. Web more than just an online factoring calculator. Stereotyping simple explanations of your own or others' motivation or behavior 2. Web here, we are essentially dividing. 3x2 + 27 = 0 step 2 : 3x2 = 27 3 x 2 = 27 divide each term in 3x2 = 27 3 x 2 = 27 by 3 3 and simplify. Step 3 :pulling out like terms : Wolfram|alpha is a great tool for factoring, expanding or simplifying polynomials.

Step 1 :equation at the end of step 1 : What i have in blue is called a difference of squares. Wolfram|alpha is a great tool for factoring, expanding or simplifying polynomials. What this means is that if i have the binomial. 3x2 = 27 3 x 2 = 27 divide each term in 3x2 = 27 3 x 2 = 27 by 3 3 and simplify. Step 1 :equation at the end of step 1 : Web more than just an online factoring calculator. It also multiplies, divides and finds the greatest. Web here, we are essentially dividing. 3x2 + 27 = 0 step 2 : Step 1 :equation at the end of step 1 :