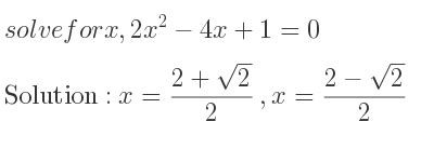
2X 2 4X 1

Ultraflex Polyureathane Hiback Pants Hbuf Hiback Extra Coverage

2X 2 4X 1. 4x2 − 1+2x = 0 4. Step 1 :equation at the end of step 1 :

Ultraflex Polyureathane Hiback Pants Hbuf Hiback Extra Coverage
Ultraflex Polyureathane Hiback Pants Hbuf Hiback Extra Coverage

4x2 − 1+2x = 0 4. Multiply each term within the parenthesis by the term outside the parenthesis: Quadratic equations such as this one can be solved by completing the square. In order to complete the square, the equation must first be in the form. Step 1 :equation at the end of step 1 : 2x2 + 4x + 1 2 x 2 + 4 x + 1. Move all the expressions to the left side of the equation. In order to complete the square, the equation must first be in the form. Just like running, it takes practice and. 2x2 + 4x+1 2 x 2 + 4 x + 1.

Web see the entire solution process below: Web see the entire solution process below: Step 1 :equation at the end of step 1 : Quadratic equations such as this one can be solved by completing the square. Quadratic equations such as this one can be solved by completing the square. 4x2 − 1+2x = 0 4. Multiply each term within the parenthesis by the term outside the parenthesis: Move all the expressions to the left side of the equation. (2) (2)(x2 −x+ 11) = ((2)×x2)− ((2)×. In order to complete the square, the equation must first be in the form. 2x2 + 4x + 1 2 x 2 + 4 x + 1.